A energia mecânica é um conceito fundamental da física que... Mostrar mais
Cadastre-se para ver o conteúdoÉ grátis!
Acesso a todos os documentos
Melhore suas notas
Junte-se a milhões de estudantes
Knowunity AI
Matérias
Triangle Congruence and Similarity Theorems
Triangle Properties and Classification
Linear Equations and Graphs
Geometric Angle Relationships
Trigonometric Functions and Identities
Equation Solving Techniques
Circle Geometry Fundamentals
Division Operations and Methods
Basic Differentiation Rules
Exponent and Logarithm Properties
Mostrar todos os tópicos
Human Organ Systems
Reproductive Cell Cycles
Biological Sciences Subdisciplines
Cellular Energy Metabolism
Autotrophic Energy Processes
Inheritance Patterns and Principles
Biomolecular Structure and Organization
Cell Cycle and Division Mechanics
Cellular Organization and Development
Biological Structural Organization
Mostrar todos os tópicos
Chemical Sciences and Applications
Atomic Structure and Composition
Molecular Electron Structure Representation
Atomic Electron Behavior
Matter Properties and Water
Mole Concept and Calculations
Gas Laws and Behavior
Periodic Table Organization
Chemical Thermodynamics Fundamentals
Chemical Bond Types and Properties
Mostrar todos os tópicos
European Renaissance and Enlightenment
European Cultural Movements 800-1920
American Revolution Era 1763-1797
American Civil War 1861-1865
Global Imperial Systems
Mongol and Chinese Dynasties
U.S. Presidents and World Leaders
Historical Sources and Documentation
World Wars Era and Impact
World Religious Systems
Mostrar todos os tópicos
Classic and Contemporary Novels
Literary Character Analysis
Rhetorical Theory and Practice
Classic Literary Narratives
Reading Analysis and Interpretation
Narrative Structure and Techniques
English Language Components
Influential English-Language Authors
Basic Sentence Structure
Narrative Voice and Perspective
Mostrar todos os tópicos
692
•
Atualizado Apr 23, 2026
•
Raquele Alves
@raquelealves
A energia mecânica é um conceito fundamental da física que... Mostrar mais


















A energia mecânica é a soma da energia cinética com a energia potencial, expressa pela fórmula:
Esta equação relaciona três tipos fundamentais de energia: a energia mecânica total, a energia cinética (relacionada ao movimento) e a energia potencial (que pode ser gravitacional ou elástica).
💡 Lembre-se que a energia mecânica se conserva em sistemas conservativos (sem atrito), o que será muito útil para resolver problemas de física!

A energia cinética $E_c$ está diretamente associada ao movimento dos corpos. Você consegue percebê-la quando observa qualquer objeto em movimento.
Essa energia depende do referencial adotado, pois a velocidade de um objeto varia conforme o ponto de observação. É calculada pela equação:
No Sistema Internacional (SI), medimos a massa em quilogramas (kg), a velocidade em metros por segundo e a energia em joules (J).
🔍 Perceba como a energia cinética aumenta com o quadrado da velocidade! Se dobrarmos a velocidade de um objeto, sua energia cinética quadruplica.

A energia potencial elástica $E_{pe}$ está relacionada à deformação de materiais elásticos, como molas e elásticos.
Quando esticamos ou comprimimos uma mola, armazenamos energia que pode ser convertida em movimento. Essa energia é calculada pela fórmula:
A força elástica segue a Lei de Hooke: , onde é a constante elástica do material e é a deformação em relação ao comprimento natural.
⚡ A energia potencial elástica é o que faz uma mola esticada "querer" voltar à posição original quando soltamos.

Na prática, para calcular a energia potencial elástica, precisamos conhecer alguns parâmetros fundamentais:
A deformação é calculada como , ou seja, a diferença entre o comprimento final e o inicial.
🔑 O valor de representa a "rigidez" do material elástico - quanto maior o valor, mais difícil é deformá-lo e mais energia é armazenada.

Vamos calcular a energia potencial gravitacional em um caso prático: uma pessoa levantando um haltere.
Quando alguém levanta um haltere de 75 kg a uma altura de 2,0 metros , a energia potencial transferida pode ser calculada por:
Isso significa que 1500 joules de energia são armazenados no haltere devido à sua posição elevada.
💪 Sempre que você levanta um objeto, está transferindo energia potencial para ele. Quanto mais pesado e mais alto, maior a energia armazenada!

Um exemplo fascinante da conservação de energia é o toboágua "Insano" do Beach Park em Fortaleza.
Uma pessoa desce o toboágua e atinge a parte mais baixa com velocidade de 28 m/s. Desprezando atritos, podemos determinar a altura do toboágua usando a conservação de energia:
Simplificando: $9,8 \cdot h = \frac{28^2}{2} = \frac{784}{2} = 392h = 40 \text{ m}$
🌊 Nos toboáguas, a energia potencial gravitacional inicial é convertida em energia cinética durante a descida, permitindo alcançar velocidades impressionantes!

Em uma montanha-russa, podemos ver a conservação de energia mecânica em ação. Imagine um carrinho de 300 kg abandonado do repouso de um ponto A a 5,0 m de altura.
Para encontrar a velocidade no ponto B (no nível do solo), usamos a conservação de energia:
Este problema ilustra perfeitamente como a energia se transforma, mas a energia mecânica total permanece constante em sistemas sem atrito.
🎢 Na montanha-russa, você sente na pele a transformação de energia: mais alto = mais energia potencial; mais rápido = mais energia cinética!

Quando resolvemos problemas de energia, usamos o princípio fundamental:
Em problemas com molas:
Simplificando:
Para determinar altura a partir de velocidade:
Estas equações são ferramentas poderosas para solucionar diversos problemas de mecânica.
⚖️ A chave para resolver problemas de energia é identificar as formas de energia presentes antes e depois, e aplicar a conservação da energia total!

Quando uma pedra rola de uma montanha, do ponto A para o ponto B, o que acontece com sua energia mecânica?
Na realidade, situações como uma pedra rolando sempre envolvem algum atrito, tornando o sistema dissipativo. Portanto, a energia mecânica em B será menor que os 400 J iniciais.
🔥 O atrito é o grande "vilão" da conservação de energia mecânica, transformando parte dela em energia térmica que se dissipa no ambiente.

Os princípios de conservação da energia e da quantidade de movimento são conceitos fundamentais na física que nos ajudam a entender diversos fenômenos.
Estes princípios são aplicados no estudo de colisões, movimentos de planetas, satélites e outros sistemas físicos. Um ponto importante a observar é que a energia associada ao movimento de um corpo (energia cinética) só é alterada quando a força resultante que atua sobre ele realiza trabalho.
Essa relação entre força, trabalho e energia é essencial para compreender como os sistemas físicos evoluem ao longo do tempo.
🌍 Estes princípios de conservação são tão fundamentais que governam desde o movimento de átomos até o de galáxias inteiras!







Nosso companheiro de IA foi criado especificamente para atender às necessidades dos estudantes. Com base nos milhões de conteúdos que temos na plataforma, podemos oferecer respostas realmente relevantes e significativas. Mas não se trata apenas de respostas, o companheiro também está aqui para guiar você pelos desafios diários de aprendizado, com planos de estudo personalizados, quizzes ou conteúdos no chat e 100% de personalização com base nas suas habilidades e desenvolvimentos.
Pode descarregar a aplicação na Google Play Store e na Apple App Store.
Sim, tem acesso gratuito ao conteúdo da aplicação e ao nosso companheiro de IA. Para desbloquear determinadas funcionalidades da aplicação, pode adquirir o Knowunity Pro.
App Store
Google Play
O app é muito fácil de usar e bem projetado. Encontrei tudo o que estava procurando até agora e consegui aprender muito com as apresentações! Definitivamente vou usar o app para uma tarefa de classe! E, claro, também ajuda muito como inspiração.
Stefan S
usuário de iOS
Este app é realmente ótimo. Tem muitos materiais de estudo e ajuda [...]. Minha matéria problemática é o francês, por exemplo, e o app tem tantas opções de ajuda. Graças a este app, eu melhorei meu francês. Eu recomendaria para qualquer pessoa.
Samantha Klich
usuária de Android
Uau, estou realmente impressionado. Eu experimentei o app porque vi muitos anúncios e fiquei absolutamente maravilhado. Este app é A AJUDA que você quer para a escola e, acima de tudo, oferece muitas coisas, como treinos e resumos, que têm sido MUITO úteis para mim pessoalmente.
Anna
usuária de iOS
aplicativo PERFEITO! além de te ajudar a estudar de verdade (diferente do chatgpt que só te dá a resposta), tem vários quiz e outras atividades interativas pra ajudar a fixar ainda mais o conteúdo, tudo perfeito, meu novo app preferido!
S Dudah
usuário iOS
o aplicativo e incrível, eu sou estudante do primeiro ano, e estudei o ensino fundamental todo e uma escola que não tinha nem o básico pra educação, graças a esse aplicativo eu consegui chegar ao nível que estou, knowunity tem quiz de várias matérias e quando você erra uma eles explicam o por que de você está errada, os mapas mentais que tem são incríveis e o chat e bem explicativo.
Milena S
usuária Android
Esse app te ajuda a se preparar para as provas, e além do mais, ajuda outras pessoas, super recomendo esse app, podem baixar sem medo algum! 💖
David K
usuário iOS
O app é simplesmente incrível! Só preciso digitar o assunto na barra de pesquisa e recebo a resposta bem rápido. Não preciso assistir a 10 vídeos no YouTube para entender algo, assim economizo meu tempo. SUPER RECOMENDO!
Sudenaz Ocak
usuário Android
Na escola eu era muito ruim em matemática, mas graças ao app, estou indo melhor agora. Sou muito grato por você ter criado o app.
Bonnie dando o sinal verde
usuária de Android
Eu particularmente amei pra aquele aluno que odeia ver no livro justifique sua resposta ,e só vc pergunta pra ele uma resposta pessoal dele que ele responde meu novo melhor amigo ele me deixou muito segura para as provas
Julia S
usuária Android
Vi esse aplicativo no TikTok, e resolvi baixar pois estava na semana de testes E ME AJUDOU MUITO, Além de me ajudar nos deveres escolares me ajudou nos teste e está me ajudando nas provas bimestrais 🩷
Marco B
usuário iOS
OS QUIZ E CARTÕES DE ESTUDO SÃO MUITO ÚTEIS E EU AMO A IA DO Knowunity. TAMBÉM É LITERALMENTE COMO O CHATGPT MAS MAIS INTELIGENTE!! ME AJUDOU COM MEUS PROBLEMAS DE RÍMEL TAMBÉM!! E COM MINHAS MATÉRIAS DE VERDADE! ÓBVIO 😍😁😲🤑💗✨🎀😮
Sarah L
usuária Android
Ajuda em todas as matéria e ainda replica como resolver, eu amei, aprendi muita coisa de matemática, e o melhor app de estudos
Lucia
usuário iOS
O app é muito fácil de usar e bem projetado. Encontrei tudo o que estava procurando até agora e consegui aprender muito com as apresentações! Definitivamente vou usar o app para uma tarefa de classe! E, claro, também ajuda muito como inspiração.
Stefan S
usuário de iOS
Este app é realmente ótimo. Tem muitos materiais de estudo e ajuda [...]. Minha matéria problemática é o francês, por exemplo, e o app tem tantas opções de ajuda. Graças a este app, eu melhorei meu francês. Eu recomendaria para qualquer pessoa.
Samantha Klich
usuária de Android
Uau, estou realmente impressionado. Eu experimentei o app porque vi muitos anúncios e fiquei absolutamente maravilhado. Este app é A AJUDA que você quer para a escola e, acima de tudo, oferece muitas coisas, como treinos e resumos, que têm sido MUITO úteis para mim pessoalmente.
Anna
usuária de iOS
aplicativo PERFEITO! além de te ajudar a estudar de verdade (diferente do chatgpt que só te dá a resposta), tem vários quiz e outras atividades interativas pra ajudar a fixar ainda mais o conteúdo, tudo perfeito, meu novo app preferido!
S Dudah
usuário iOS
o aplicativo e incrível, eu sou estudante do primeiro ano, e estudei o ensino fundamental todo e uma escola que não tinha nem o básico pra educação, graças a esse aplicativo eu consegui chegar ao nível que estou, knowunity tem quiz de várias matérias e quando você erra uma eles explicam o por que de você está errada, os mapas mentais que tem são incríveis e o chat e bem explicativo.
Milena S
usuária Android
Esse app te ajuda a se preparar para as provas, e além do mais, ajuda outras pessoas, super recomendo esse app, podem baixar sem medo algum! 💖
David K
usuário iOS
O app é simplesmente incrível! Só preciso digitar o assunto na barra de pesquisa e recebo a resposta bem rápido. Não preciso assistir a 10 vídeos no YouTube para entender algo, assim economizo meu tempo. SUPER RECOMENDO!
Sudenaz Ocak
usuário Android
Na escola eu era muito ruim em matemática, mas graças ao app, estou indo melhor agora. Sou muito grato por você ter criado o app.
Bonnie dando o sinal verde
usuária de Android
Eu particularmente amei pra aquele aluno que odeia ver no livro justifique sua resposta ,e só vc pergunta pra ele uma resposta pessoal dele que ele responde meu novo melhor amigo ele me deixou muito segura para as provas
Julia S
usuária Android
Vi esse aplicativo no TikTok, e resolvi baixar pois estava na semana de testes E ME AJUDOU MUITO, Além de me ajudar nos deveres escolares me ajudou nos teste e está me ajudando nas provas bimestrais 🩷
Marco B
usuário iOS
OS QUIZ E CARTÕES DE ESTUDO SÃO MUITO ÚTEIS E EU AMO A IA DO Knowunity. TAMBÉM É LITERALMENTE COMO O CHATGPT MAS MAIS INTELIGENTE!! ME AJUDOU COM MEUS PROBLEMAS DE RÍMEL TAMBÉM!! E COM MINHAS MATÉRIAS DE VERDADE! ÓBVIO 😍😁😲🤑💗✨🎀😮
Sarah L
usuária Android
Ajuda em todas as matéria e ainda replica como resolver, eu amei, aprendi muita coisa de matemática, e o melhor app de estudos
Lucia
usuário iOS
Raquele Alves
@raquelealves
A energia mecânica é um conceito fundamental da física que combina energia cinética e potencial. Esse conhecimento é essencial para entender diversos fenômenos físicos do nosso cotidiano, desde o funcionamento de brinquedos em parques até sistemas mecânicos mais complexos.

Acesso a todos os documentos
Melhore suas notas
Junte-se a milhões de estudantes
A energia mecânica é a soma da energia cinética com a energia potencial, expressa pela fórmula:
Esta equação relaciona três tipos fundamentais de energia: a energia mecânica total, a energia cinética (relacionada ao movimento) e a energia potencial (que pode ser gravitacional ou elástica).
💡 Lembre-se que a energia mecânica se conserva em sistemas conservativos (sem atrito), o que será muito útil para resolver problemas de física!

Acesso a todos os documentos
Melhore suas notas
Junte-se a milhões de estudantes
A energia cinética $E_c$ está diretamente associada ao movimento dos corpos. Você consegue percebê-la quando observa qualquer objeto em movimento.
Essa energia depende do referencial adotado, pois a velocidade de um objeto varia conforme o ponto de observação. É calculada pela equação:
No Sistema Internacional (SI), medimos a massa em quilogramas (kg), a velocidade em metros por segundo e a energia em joules (J).
🔍 Perceba como a energia cinética aumenta com o quadrado da velocidade! Se dobrarmos a velocidade de um objeto, sua energia cinética quadruplica.

Acesso a todos os documentos
Melhore suas notas
Junte-se a milhões de estudantes
A energia potencial elástica $E_{pe}$ está relacionada à deformação de materiais elásticos, como molas e elásticos.
Quando esticamos ou comprimimos uma mola, armazenamos energia que pode ser convertida em movimento. Essa energia é calculada pela fórmula:
A força elástica segue a Lei de Hooke: , onde é a constante elástica do material e é a deformação em relação ao comprimento natural.
⚡ A energia potencial elástica é o que faz uma mola esticada "querer" voltar à posição original quando soltamos.

Acesso a todos os documentos
Melhore suas notas
Junte-se a milhões de estudantes
Na prática, para calcular a energia potencial elástica, precisamos conhecer alguns parâmetros fundamentais:
A deformação é calculada como , ou seja, a diferença entre o comprimento final e o inicial.
🔑 O valor de representa a "rigidez" do material elástico - quanto maior o valor, mais difícil é deformá-lo e mais energia é armazenada.

Acesso a todos os documentos
Melhore suas notas
Junte-se a milhões de estudantes
Vamos calcular a energia potencial gravitacional em um caso prático: uma pessoa levantando um haltere.
Quando alguém levanta um haltere de 75 kg a uma altura de 2,0 metros , a energia potencial transferida pode ser calculada por:
Isso significa que 1500 joules de energia são armazenados no haltere devido à sua posição elevada.
💪 Sempre que você levanta um objeto, está transferindo energia potencial para ele. Quanto mais pesado e mais alto, maior a energia armazenada!

Acesso a todos os documentos
Melhore suas notas
Junte-se a milhões de estudantes
Um exemplo fascinante da conservação de energia é o toboágua "Insano" do Beach Park em Fortaleza.
Uma pessoa desce o toboágua e atinge a parte mais baixa com velocidade de 28 m/s. Desprezando atritos, podemos determinar a altura do toboágua usando a conservação de energia:
Simplificando: $9,8 \cdot h = \frac{28^2}{2} = \frac{784}{2} = 392h = 40 \text{ m}$
🌊 Nos toboáguas, a energia potencial gravitacional inicial é convertida em energia cinética durante a descida, permitindo alcançar velocidades impressionantes!

Acesso a todos os documentos
Melhore suas notas
Junte-se a milhões de estudantes
Em uma montanha-russa, podemos ver a conservação de energia mecânica em ação. Imagine um carrinho de 300 kg abandonado do repouso de um ponto A a 5,0 m de altura.
Para encontrar a velocidade no ponto B (no nível do solo), usamos a conservação de energia:
Este problema ilustra perfeitamente como a energia se transforma, mas a energia mecânica total permanece constante em sistemas sem atrito.
🎢 Na montanha-russa, você sente na pele a transformação de energia: mais alto = mais energia potencial; mais rápido = mais energia cinética!

Acesso a todos os documentos
Melhore suas notas
Junte-se a milhões de estudantes
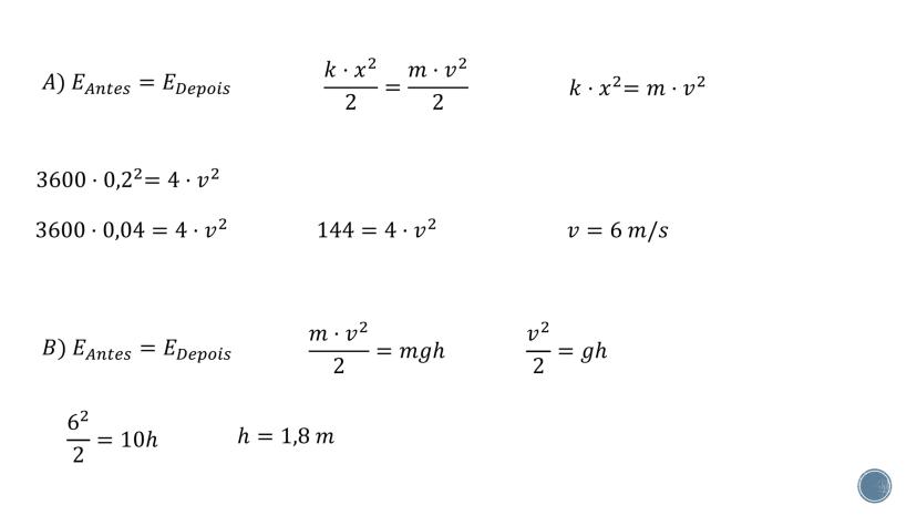
Quando resolvemos problemas de energia, usamos o princípio fundamental:
Em problemas com molas:
Simplificando:
Para determinar altura a partir de velocidade:
Estas equações são ferramentas poderosas para solucionar diversos problemas de mecânica.
⚖️ A chave para resolver problemas de energia é identificar as formas de energia presentes antes e depois, e aplicar a conservação da energia total!

Acesso a todos os documentos
Melhore suas notas
Junte-se a milhões de estudantes
Quando uma pedra rola de uma montanha, do ponto A para o ponto B, o que acontece com sua energia mecânica?
Na realidade, situações como uma pedra rolando sempre envolvem algum atrito, tornando o sistema dissipativo. Portanto, a energia mecânica em B será menor que os 400 J iniciais.
🔥 O atrito é o grande "vilão" da conservação de energia mecânica, transformando parte dela em energia térmica que se dissipa no ambiente.

Acesso a todos os documentos
Melhore suas notas
Junte-se a milhões de estudantes
Os princípios de conservação da energia e da quantidade de movimento são conceitos fundamentais na física que nos ajudam a entender diversos fenômenos.
Estes princípios são aplicados no estudo de colisões, movimentos de planetas, satélites e outros sistemas físicos. Um ponto importante a observar é que a energia associada ao movimento de um corpo (energia cinética) só é alterada quando a força resultante que atua sobre ele realiza trabalho.
Essa relação entre força, trabalho e energia é essencial para compreender como os sistemas físicos evoluem ao longo do tempo.
🌍 Estes princípios de conservação são tão fundamentais que governam desde o movimento de átomos até o de galáxias inteiras!

Acesso a todos os documentos
Melhore suas notas
Junte-se a milhões de estudantes

Acesso a todos os documentos
Melhore suas notas
Junte-se a milhões de estudantes

Acesso a todos os documentos
Melhore suas notas
Junte-se a milhões de estudantes

Acesso a todos os documentos
Melhore suas notas
Junte-se a milhões de estudantes

Acesso a todos os documentos
Melhore suas notas
Junte-se a milhões de estudantes

Acesso a todos os documentos
Melhore suas notas
Junte-se a milhões de estudantes

Acesso a todos os documentos
Melhore suas notas
Junte-se a milhões de estudantes
Nosso companheiro de IA foi criado especificamente para atender às necessidades dos estudantes. Com base nos milhões de conteúdos que temos na plataforma, podemos oferecer respostas realmente relevantes e significativas. Mas não se trata apenas de respostas, o companheiro também está aqui para guiar você pelos desafios diários de aprendizado, com planos de estudo personalizados, quizzes ou conteúdos no chat e 100% de personalização com base nas suas habilidades e desenvolvimentos.
Pode descarregar a aplicação na Google Play Store e na Apple App Store.
Sim, tem acesso gratuito ao conteúdo da aplicação e ao nosso companheiro de IA. Para desbloquear determinadas funcionalidades da aplicação, pode adquirir o Knowunity Pro.
35
Ferramentas Inteligentes NOVO
Transforme esta anotação em: ✓ 50+ Questões de Prática ✓ Flashcards Interativos ✓ Simulado Completo ✓ Esquemas de Redação
App Store
Google Play
O app é muito fácil de usar e bem projetado. Encontrei tudo o que estava procurando até agora e consegui aprender muito com as apresentações! Definitivamente vou usar o app para uma tarefa de classe! E, claro, também ajuda muito como inspiração.
Stefan S
usuário de iOS
Este app é realmente ótimo. Tem muitos materiais de estudo e ajuda [...]. Minha matéria problemática é o francês, por exemplo, e o app tem tantas opções de ajuda. Graças a este app, eu melhorei meu francês. Eu recomendaria para qualquer pessoa.
Samantha Klich
usuária de Android
Uau, estou realmente impressionado. Eu experimentei o app porque vi muitos anúncios e fiquei absolutamente maravilhado. Este app é A AJUDA que você quer para a escola e, acima de tudo, oferece muitas coisas, como treinos e resumos, que têm sido MUITO úteis para mim pessoalmente.
Anna
usuária de iOS
aplicativo PERFEITO! além de te ajudar a estudar de verdade (diferente do chatgpt que só te dá a resposta), tem vários quiz e outras atividades interativas pra ajudar a fixar ainda mais o conteúdo, tudo perfeito, meu novo app preferido!
S Dudah
usuário iOS
o aplicativo e incrível, eu sou estudante do primeiro ano, e estudei o ensino fundamental todo e uma escola que não tinha nem o básico pra educação, graças a esse aplicativo eu consegui chegar ao nível que estou, knowunity tem quiz de várias matérias e quando você erra uma eles explicam o por que de você está errada, os mapas mentais que tem são incríveis e o chat e bem explicativo.
Milena S
usuária Android
Esse app te ajuda a se preparar para as provas, e além do mais, ajuda outras pessoas, super recomendo esse app, podem baixar sem medo algum! 💖
David K
usuário iOS
O app é simplesmente incrível! Só preciso digitar o assunto na barra de pesquisa e recebo a resposta bem rápido. Não preciso assistir a 10 vídeos no YouTube para entender algo, assim economizo meu tempo. SUPER RECOMENDO!
Sudenaz Ocak
usuário Android
Na escola eu era muito ruim em matemática, mas graças ao app, estou indo melhor agora. Sou muito grato por você ter criado o app.
Bonnie dando o sinal verde
usuária de Android
Eu particularmente amei pra aquele aluno que odeia ver no livro justifique sua resposta ,e só vc pergunta pra ele uma resposta pessoal dele que ele responde meu novo melhor amigo ele me deixou muito segura para as provas
Julia S
usuária Android
Vi esse aplicativo no TikTok, e resolvi baixar pois estava na semana de testes E ME AJUDOU MUITO, Além de me ajudar nos deveres escolares me ajudou nos teste e está me ajudando nas provas bimestrais 🩷
Marco B
usuário iOS
OS QUIZ E CARTÕES DE ESTUDO SÃO MUITO ÚTEIS E EU AMO A IA DO Knowunity. TAMBÉM É LITERALMENTE COMO O CHATGPT MAS MAIS INTELIGENTE!! ME AJUDOU COM MEUS PROBLEMAS DE RÍMEL TAMBÉM!! E COM MINHAS MATÉRIAS DE VERDADE! ÓBVIO 😍😁😲🤑💗✨🎀😮
Sarah L
usuária Android
Ajuda em todas as matéria e ainda replica como resolver, eu amei, aprendi muita coisa de matemática, e o melhor app de estudos
Lucia
usuário iOS
O app é muito fácil de usar e bem projetado. Encontrei tudo o que estava procurando até agora e consegui aprender muito com as apresentações! Definitivamente vou usar o app para uma tarefa de classe! E, claro, também ajuda muito como inspiração.
Stefan S
usuário de iOS
Este app é realmente ótimo. Tem muitos materiais de estudo e ajuda [...]. Minha matéria problemática é o francês, por exemplo, e o app tem tantas opções de ajuda. Graças a este app, eu melhorei meu francês. Eu recomendaria para qualquer pessoa.
Samantha Klich
usuária de Android
Uau, estou realmente impressionado. Eu experimentei o app porque vi muitos anúncios e fiquei absolutamente maravilhado. Este app é A AJUDA que você quer para a escola e, acima de tudo, oferece muitas coisas, como treinos e resumos, que têm sido MUITO úteis para mim pessoalmente.
Anna
usuária de iOS
aplicativo PERFEITO! além de te ajudar a estudar de verdade (diferente do chatgpt que só te dá a resposta), tem vários quiz e outras atividades interativas pra ajudar a fixar ainda mais o conteúdo, tudo perfeito, meu novo app preferido!
S Dudah
usuário iOS
o aplicativo e incrível, eu sou estudante do primeiro ano, e estudei o ensino fundamental todo e uma escola que não tinha nem o básico pra educação, graças a esse aplicativo eu consegui chegar ao nível que estou, knowunity tem quiz de várias matérias e quando você erra uma eles explicam o por que de você está errada, os mapas mentais que tem são incríveis e o chat e bem explicativo.
Milena S
usuária Android
Esse app te ajuda a se preparar para as provas, e além do mais, ajuda outras pessoas, super recomendo esse app, podem baixar sem medo algum! 💖
David K
usuário iOS
O app é simplesmente incrível! Só preciso digitar o assunto na barra de pesquisa e recebo a resposta bem rápido. Não preciso assistir a 10 vídeos no YouTube para entender algo, assim economizo meu tempo. SUPER RECOMENDO!
Sudenaz Ocak
usuário Android
Na escola eu era muito ruim em matemática, mas graças ao app, estou indo melhor agora. Sou muito grato por você ter criado o app.
Bonnie dando o sinal verde
usuária de Android
Eu particularmente amei pra aquele aluno que odeia ver no livro justifique sua resposta ,e só vc pergunta pra ele uma resposta pessoal dele que ele responde meu novo melhor amigo ele me deixou muito segura para as provas
Julia S
usuária Android
Vi esse aplicativo no TikTok, e resolvi baixar pois estava na semana de testes E ME AJUDOU MUITO, Além de me ajudar nos deveres escolares me ajudou nos teste e está me ajudando nas provas bimestrais 🩷
Marco B
usuário iOS
OS QUIZ E CARTÕES DE ESTUDO SÃO MUITO ÚTEIS E EU AMO A IA DO Knowunity. TAMBÉM É LITERALMENTE COMO O CHATGPT MAS MAIS INTELIGENTE!! ME AJUDOU COM MEUS PROBLEMAS DE RÍMEL TAMBÉM!! E COM MINHAS MATÉRIAS DE VERDADE! ÓBVIO 😍😁😲🤑💗✨🎀😮
Sarah L
usuária Android
Ajuda em todas as matéria e ainda replica como resolver, eu amei, aprendi muita coisa de matemática, e o melhor app de estudos
Lucia
usuário iOS